軸承的徑向(軸向)游隙是當軸承無外負荷作用時,一套圈相對另一套圈,從一個徑向(軸向)極限位置移向相反極限位置的徑向(軸向)距離算術平均值。一般采用在套圈的不同方向以及套圈和滾動體不同位置狀態下的徑向(軸向)位移的平均值。游隙是軸承的一個重要技術參數,它直接影響到軸承的載荷分部、振動、噪音、摩擦、溫升、使用壽命和機械的運轉精度等技術性能。游隙過大,會引起軸承內部承載區域減小,接觸面應力增大,從而使用壽命縮短。過大的游隙還會使軸承運動精度下降振動和噪音增大。游隙過小,可能會在實際運行中出現負游隙(過盈),引起摩擦發熱增大,溫升提高,進而使工作游隙更小或過盈更大,如此惡性循環導致軸承抱死。
2. 不同狀態下的游隙和互相關系
初始游隙△o: 軸承在未安裝狀態下不承受載荷時的游隙,即供貨游隙。
安裝游隙△r: 軸承安裝后的游隙。軸承在安裝后由于配合作用一般內圈脹大,外圈縮小,
因此
△r=△o?δfo?δfi (1)
式中:
δfo為外圈和軸殼配合引起的游隙減少量
δfi為內圈和軸配合引起的游隙減少量
工作游隙△e:軸承在實際運行中的游隙。由于軸承在實際工作時受溫升和散熱條件的影響一般是內圈溫度高于外圈溫度,導致游隙減少,因此
△e=△r?δt (2)
式中,δt為軸承內外圈溫差導致的游隙減少量。由(1)(2)可得到
△e=△o?δfo?δfi?δt (3)
3. 工作游隙的計算
只要計算出上述幾個影響游隙的因素,軸承的工作游隙即可按照(3)式計算出來。
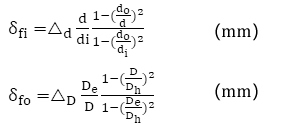
裝配影響

式中:
△d – 內徑和軸配合的過盈量(mm)
△D – 外徑和軸殼配合的過盈量(mm)
d – 軸承內徑(mm)
D – 軸承外徑(mm)
De – 軸承外圈平均內徑(mm)
De 如無確切數據,可按下式估計De=(7D+3d)/10
di – 軸承內圈平均外徑(mm)
di 如無確切數據,可按下式估計di=(3D+7d)/10
do – 空心軸的內徑(mm),如實心軸do=0
Dh – 軸承座外徑(mm),如鋼體軸承座Dh=∞
溫差影響
式中,α – 軸承鋼的膨脹系數(1/℃)
△t – 內外套圈的溫度差(℃)△t=T內?T外
Do – 外圈滾道直徑(mm)
Do 如無確切數據,可按以下方法估計:
對球軸承、調心滾子軸承:Do=(4D+d)/5
對圓柱滾子軸承:Do=(3D+d)/4
4. 例:
軸承23132CA配合主軸(實心)公差為p6+0.068 +0.043,配合的軸殼(外徑330)公差為K7+0.012 -0.028,軸承正常工作時內圈溫度高于外圈約10℃。試做工作游隙驗算。
23132CA數據:外徑D=270+0 -0.035 mm,內徑d=160+0 -0.025mm,接觸角α=11°45′,外圈平均內徑De=240mm,內圈平均外徑di=190mm,外圈滾道直徑Do=248mm,基本組游隙:最大0.17,最小0.1

經驗算,軸承的工作游隙小于0,表明實際上有可能在過盈狀態下運行。
如果改變選用C3組游隙(最大0.22,最小0.17),則最小工作游隙△(e min)=△o?δfo?δfi?δt=0.17?0.078?0.017?0.031=0.044mm
TWB可向用戶提供C2、C0、C3、C4、C5標準游隙軸承,與國內和國際主要軸承制造商的游隙標準是一致的。具體的游隙值(初始游隙)可在軸承樣本等資料上查得。用戶在訂貨時應將游隙代號加在軸承代號后面,基本組游隙C0可以省略。
例如:C3組標準游隙23132CA軸承,應寫為23132CA/C3。用戶在選擇游隙時,有條件情況下應該按照公式(3)做工作游隙驗算。理想的工作游隙應當是零游隙,因為能得到最佳的載荷分配和最長的使用壽命。為了獲得較大的剛性和較高旋轉精度,可以讓軸承在適當的負游隙狀態下工作。但是當工作條件變化較大,安裝配合控制得不嚴,內圈散熱條件差,從安全性考慮,則應保留一定的工作游隙,或以最壞情況來驗算工作游隙。如用戶沒有條件做工作游隙驗算時,可以參照下表選擇游隙。
使用條件 |
應用舉例 |
選用游隙 |
安裝配合精密或非過盈配合 要求嚴格控制振動噪音 要求精確的徑向或軸向定位 |
測試設備、儀器 低噪音、小型電機 精密軋機 |
C2 |
一般的安裝配合條件(詳見公司樣本) 一般載荷和轉速,工作溫升不大 |
通用機械 減速機,傳動機構 |
C0 |
內圈和外圈過盈配合,或其中某一件過盈量大 內圈不容易散熱 調心滾子軸承以承載為目的,工作條件變化大時 |
鐵路車輛 造紙干燥機 礦山機械 |
C3 |
內圈和外圈過盈配合,且過盈量較大 |
振動篩 烘干機 汽車后輪 |
C4 |
內圈和外圈過盈配合,且過盈量很大, 并且工作溫升高,內圈不容易散熱 |
振動式壓路機 |
C5 |
注: 如果軸承的工作條件非常特殊,上述五種標準游隙都不能,滿足其要求,則可以選擇非標準游隙C9,用戶在訂貨時應注明具體的初始游隙值。用戶還可以根據以往的使用情況和發現的問題改變選擇游隙,例如:若出現嚴重發熱或抱死情況,則應改變選擇較大的游隙。
軸承應用專家











